集团首页|

科研成果

当前位置: 首页 -> 科学研究 -> 科研成果 -> 正文

sunbet申搏青年教师王蕾在《Geoderma》发表研究成果

发布日期:2025-11-06

近日,以sunbet申搏为第一单位,王蕾老师作为第一作者在国际农林科学-土壤科学领域一流期刊《Geoderma》(中国科学院一区TOPIF6.6)上发表题为《Decipher soil organic carbon density dynamics, driving forces and future stability across Southwest China》的研究论文。该研究基于机器学习与多源遥感数据,系统揭示了中国西南地区近二十年的土壤有机碳密度(SOCD)的时空变化特征、主要驱动机制及未来稳定性,为区域碳汇评估与气候变化背景下的碳管理提供了科学依据与决策支撑。

土壤有机碳(SOC)是陆地生态系统中最大且最具活性的碳库之一,对全球碳循环与气候调节具有关键作用。西南地区作为重要的生态屏障和碳汇功能区,同时也是生态脆弱区,实施了多项大规模生态恢复工程。但该区域地形复杂、生境破碎,加之现有SOCD数据集多为2014年之前的数据,缺乏近期的观测资料,导致对该区域SOCD动态及其驱动机制的理解仍然有限。精准评估该区域SOCD的动态特征及其驱动机制,对于理解碳循环过程、制定区域减排与碳中和战略具有重要科学与实践意义。

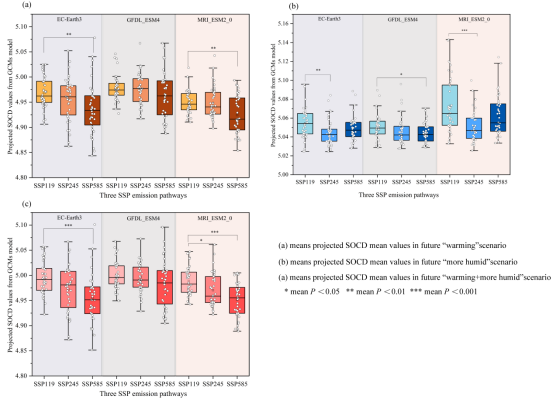
本研究整合了2000-2020年间2883个野外实测土壤剖面样点,结合气候、地形、土壤理化特征、植被及人类活动等多维驱动因子,利用集成机器学习算法(随机森林模型),实现了西南地区1公里空间分辨率的SOCD高精度制图,并在此基础上揭示了SOCD的历史演变、主控因素及未来变化趋势。研究进一步引入CMIP6情景下的气候与二氧化碳浓度预测数据,对2021-2060年不同社会经济路径(SSP1-1.9SSP2-4.5SSP5-8.5)下的碳库变化进行了情景模拟。研究发现:(1)在历史时期(2000s vs. 2010s),中国西南地区的平均SOCD呈现出从C·m-2下降至5.29 kgC·m-2的轻微下降趋势。这种变化在空间上分布不均,约有25%的区域(尤其在云南、重庆和广西部分地区)经历了显著的碳流失。(2)驱动历史SOCD损失的主要因素是环境变化(贡献率-3.48%)和气候变化(贡献率-0.84%)。相比之下,植被绿度的增加对SOCD起到了积极的促进作用(贡献率+0.41%),但在很大程度上被前两者的负面影响所抵消。(3)对未来的预测显示,在所有排放情景下,持续升温将导致SOCD持续流失。虽然降水增加和二氧化碳施肥效应可能会带来一定的碳增汇,但在“升温和增湿”共同作用下,净效应仍然是碳流失。这凸显了控制升温对于保护土壤碳库的紧迫性。

该研究系统以1公里高分辨率重构了我国西南地区近二十年的土壤有机碳密度(SOCD)时空动态,提出了基于机器学习与情景预测的碳库评估框架,为生态恢复工程效应评估、区域碳汇核算与气候变化适应规划提供了新思路。研究结果强调了土壤理化属性在碳储过程中的核心作用,揭示了气候与环境交互作用下碳库变化的复杂性,对推动西南喀斯特生态系统的碳中和与生态安全建设具有重要意义。

该研究第一作者为sunbet申搏王蕾老师,同时王妍教授、引进人才周金星教授为本文合著者。

该研究得到了国家自然科学基金国际(地区)合作与交流项目(4231101712)、sunbet申搏校级科研专项项目、云南省水土保持与荒漠化防治学一流学科开放课题(SBK20240009)资助。